The Matrix Calculus You Need For Deep Learning
53 min readThe Big Picture Goal:
We want our machine learning models to make good predictions. To do this, we define a loss function (or cost function) that measures how “bad” our model’s predictions are compared to the true values.
- Training = Minimizing Loss: Training a model means finding the model parameters (like weights
wand biasesb) that make this loss function as small as possible. - Calculus as a Tool for Minimization: Derivatives (and their extensions like gradients) tell us the rate of change or the slope of a function.
- If we know the slope of our loss function with respect to our model parameters, we know which “direction” to tweak those parameters to decrease the loss. This is the essence of Gradient Descent.
So, all this calculus is ultimately about finding an efficient way to “walk downhill” on our loss function surface to find the parameter values that give the lowest error.
Now, let’s look at the paper.
(Section 1 - Introduction)
The paper acknowledges that derivatives are critical for ML, especially deep neural networks, which are trained by optimizing a loss function.
It mentions that while modern libraries have “automatic differentiation,” understanding the underlying matrix calculus helps to “grok academic papers” and understand what’s happening “under the hood.”
It gives an example of a single neuron’s activation:
z(x) = w · x + b(affine function: dot product of weightswwith inputx, plus a biasb).- Followed by an activation function, e.g.,
max(0, z(x))(ReLU).
Key statement on training: “Training this neuron means choosing weights
wand biasbso that we get the desired output for all N inputsx. To do that, we minimize a loss function… All of those [gradient descent methods] require the partial derivative (the gradient) of activation(x) with respect to the model parameterswandb. Our goal is to gradually tweakwandbso that the overall loss function keeps getting smaller…”- What this is ultimately trying to achieve: Use the gradient (which calculus helps us find) to iteratively adjust
wandbto reduce the model’s error.
- What this is ultimately trying to achieve: Use the gradient (which calculus helps us find) to iteratively adjust
The introduction to the paper’s goal: “…rederive and rediscover some key matrix calculus rules in an effort to explain them… There aren’t dozens of new rules to learn; just a couple of key concepts.” This is encouraging!
Let’s proceed to Section 2: Review: Scalar derivative rules (Page 4 of the paper). This should be a good refresher. Are you ready to look at these basic rules? We can take it slow and make sure each one makes sense.
Alright, let’s dive into Section 2: Review: Scalar derivative rules from the Parr & Howard paper (page 4, extending to the table on page 5).
This section is a quick refresher of the basic derivative rules you likely encountered in a first calculus course. The core idea of a derivative for a function of a single variable, f(x), is to find its instantaneous rate of change or the slope of the tangent line at any given point x.
What we are ultimately trying to achieve with derivatives (in an ML context): We want to know how a small change in an input (like a model parameter θ or an input feature x) will affect the output of a function (like the loss function J(θ) or an activation function a(z)). If the derivative is large and positive, a small increase in the input leads to a large increase in the output. If it’s negative, an increase in input leads to a decrease in output. If it’s zero, the function is momentarily flat at that point (which could indicate a minimum, maximum, or a plateau).
Let’s look at the rules presented in the table on page 5:
Constant Rule:
- Rule:
f(x) = c(wherecis a constant) - Scalar derivative notation:
d/dx (c) = 0 - Example:
d/dx (99) = 0 - What it’s ultimately trying to achieve: A constant function doesn’t change, no matter what
xis. So, its rate of change (slope) is always zero. Think of a flat horizontal line – its slope is 0.
- Rule:
Multiplication by Constant Rule:
- Rule:
f(x) = cf(x)(actually, it should beg(x) = c * f(x)) - Scalar derivative notation:
d/dx (c * f(x)) = c * (df/dx) - Example:
d/dx (3x) = 3 * (d/dx (x)) = 3 * 1 = 3 - What it’s ultimately trying to achieve: If you scale a function by a constant, its rate of change (slope) at any point is also scaled by that same constant. The shape of the change is the same, just amplified or shrunk.
- Rule:
Power Rule:
- Rule:
f(x) = xⁿ - Scalar derivative notation:
d/dx (xⁿ) = nxⁿ⁻¹ - Example:
d/dx (x³) = 3x³⁻¹ = 3x² - What it’s ultimately trying to achieve: This rule tells us how functions involving powers of
xchange. Forx³, the slope isn’t constant; it changes depending onx. Atx=1, slope is 3. Atx=2, slope is3*(2)² = 12.
- Rule:
Sum Rule:
- Rule:
h(x) = f(x) + g(x) - Scalar derivative notation:
d/dx (f(x) + g(x)) = (df/dx) + (dg/dx) - Example:
d/dx (x² + 3x) = (d/dx x²) + (d/dx 3x) = 2x + 3 - What it’s ultimately trying to achieve: The rate of change of a sum of functions is the sum of their individual rates of change. If one part is changing quickly and another slowly, the sum changes according to the combined effect.
- Rule:
Difference Rule:
- Rule:
h(x) = f(x) - g(x) - Scalar derivative notation:
d/dx (f(x) - g(x)) = (df/dx) - (dg/dx) - Example:
d/dx (x² - 3x) = (d/dx x²) - (d/dx 3x) = 2x - 3 - What it’s ultimately trying to achieve: Similar to the sum rule, the rate of change of a difference is the difference of the rates of change.
- Rule:
Product Rule:
- Rule:
h(x) = f(x)g(x) - Scalar derivative notation:
d/dx (f(x)g(x)) = f(x)(dg/dx) + (df/dx)g(x) - Example:
d/dx (x² * x)(wheref(x)=x²,g(x)=x)= x² * (d/dx x) + (d/dx x²) * x= x² * 1 + 2x * x = x² + 2x² = 3x²- (This is consistent with
d/dx (x³) = 3x²)
- What it’s ultimately trying to achieve: When two functions are multiplied, a change in
xaffects both. The overall rate of change depends on howg(x)changes (weighted byf(x)) plus howf(x)changes (weighted byg(x)).
- Rule:
Chain Rule (for single variable nested functions):
- Rule:
h(x) = f(g(x))(a functionfapplied to the output of another functiong) - Scalar derivative notation:
d/dx f(g(x)) = (df/du) * (du/dx), whereu = g(x).- The paper writes this as
df(u)/du * du/dx.
- The paper writes this as
- Example:
d/dx ln(x²)- Let
u = g(x) = x². Thenf(u) = ln(u). du/dx = d/dx (x²) = 2x.df/du = d/du (ln(u)) = 1/u.- So,
d/dx ln(x²) = (1/u) * (2x) = (1/x²) * (2x) = 2x/x² = 2/x.
- Let
- What it’s ultimately trying to achieve: It tells us how to find the rate of change of a composite function. How much does the outer function
fchange with respect to its inputu(df/du), multiplied by how much that inner inputuchanges with respect to the original variablex(du/dx). It “chains” the rates of change together. This rule is extremely important for neural networks because they are essentially deeply nested functions, and backpropagation is an application of the chain rule.
- Rule:
The paper also mentions (bottom of page 4, top of page 5):
- The notation
d/dxcan be thought of as an operator that takes a functionf(x)and gives you its derivativedf/dx. - This operator view is helpful because the operator is distributive (
d/dx (f+g) = df/dx + dg/dx) and lets you pull out constants (d/dx (cf) = c * df/dx). This simplifies taking derivatives of complex expressions, like their example:d/dx (9(x + x²)) = 9 * d/dx (x + x²) = 9 * (d/dx x + d/dx x²) = 9 * (1 + 2x) = 9 + 18x.
This review of scalar derivative rules is foundational. For deep learning and training models with Gradient Descent, we are constantly asking: “If I wiggle this weight/bias a tiny bit, how much does my loss function change?” Derivatives give us the answer to that question.
Section 3: Introduction to vector calculus and partial derivatives
This section transitions us from functions of a single variable (f(x)) to functions of multiple variables (e.g., f(x, y)). Neural network layers often have many inputs (features) and many parameters (weights, biases), so we need to be able to talk about how the output changes when we wiggle one specific input or parameter, while keeping others constant.
Functions of Multiple Parameters:
- Instead of
f(x), we now considerf(x, y). For example, the productxy. - If we want to know its derivative, the question is “derivative with respect to what?” With respect to
x, or with respect toy? The change inxywill be different depending on which variable we “wiggle.”
- Instead of
Partial Derivatives:
- When we have a function of multiple variables, we compute partial derivatives.
- The notation changes from
d/dxto∂/∂x(using a stylized ’d’, often called “del” or “curly d”). ∂f(x,y)/∂x: This is the partial derivative off(x,y)with respect tox.- What it’s ultimately trying to achieve: It tells us the rate of change of the function
fif we changexby a tiny amount, while holding all other variables (in this case,y) constant. You treatyas if it were just a number.
- What it’s ultimately trying to achieve: It tells us the rate of change of the function
∂f(x,y)/∂y: This is the partial derivative off(x,y)with respect toy.- What it’s ultimately trying to achieve: It tells us the rate of change of
fif we changeyby a tiny amount, while holdingxconstant.
- What it’s ultimately trying to achieve: It tells us the rate of change of
Example from the paper:
f(x, y) = 3x²y- Partial derivative with respect to
x(∂f/∂x):- Treat
y(and3) as constants. ∂/∂x (3x²y) = 3y * (∂/∂x x²) = 3y * (2x) = 6yx.- Intuition: If
yis fixed, sayy=2, thenf(x,2) = 6x². The derivatived/dx (6x²) = 12x. Our partial derivative6yxgives6(2)x = 12x. It matches!
- Treat
- Partial derivative with respect to
y(∂f/∂y):- Treat
x(and3x²) as constants. ∂/∂y (3x²y) = 3x² * (∂/∂y y) = 3x² * 1 = 3x².- Intuition: If
xis fixed, sayx=1, thenf(1,y) = 3y. The derivatived/dy (3y) = 3. Our partial derivative3x²gives3(1)² = 3. It matches!
- Treat
- Partial derivative with respect to
The Gradient (∇f):
- For a function of multiple variables, like
f(x,y), we can organize all its partial derivatives into a vector. This vector is called the gradient off, denoted by∇f(nabla f). - For
f(x,y) = 3x²y, the paper writes:∇f(x, y) = [∂f/∂x, ∂f/∂y] = [6yx, 3x²] - What the gradient is ultimately trying to achieve: The gradient vector
∇fat a specific point(x₀, y₀)points in the direction of the steepest ascent (fastest increase) of the functionfat that point. Its magnitude||∇f||tells you the rate of increase in that direction. - In machine learning, our loss function
J(θ)depends on many parametersθ₁, θ₂, ..., θₙ. The gradient∇J(θ)will be a vector[∂J/∂θ₁, ∂J/∂θ₂, ..., ∂J/∂θₙ]. - Gradient Descent uses this: it calculates
∇J(θ)and then takes a step in the opposite direction (-∇J(θ)) to go “downhill” and reduce the loss.
- For a function of multiple variables, like
This section essentially extends the concept of a derivative (rate of change/slope) from single-variable functions to multi-variable functions by considering the rate of change with respect to each variable individually, holding others constant. The gradient then bundles all these partial rates of change into a single vector that gives us the “overall” direction of steepest increase.
Section 4: Matrix calculus
This is where things get a bit more generalized. So far:
- Scalar derivative:
df/dx(function of one variable, derivative is a scalar). - Vector calculus (gradient):
∇f(x,y) = [∂f/∂x, ∂f/∂y](function of multiple scalar variablesx, y, output is a scalarf, gradient is a vector of partials).
Matrix calculus deals with derivatives when:
- The input is a vector (e.g.,
x = [x₁, x₂]). - The output can also be a vector (e.g.,
y = [f₁(x), f₂(x)]).
- From One Function to Many Functions:
- The paper keeps
f(x, y) = 3x²yfrom the previous section. - It introduces another function
g(x, y) = 2x + y⁸. - We can find the gradient of
gjust like we did forf:∂g/∂x = ∂/∂x (2x + y⁸) = 2(treatingy⁸as constant)∂g/∂y = ∂/∂y (2x + y⁸) = 8y⁷(treating2xas constant)- So,
∇g(x, y) = [2, 8y⁷].
- The paper keeps

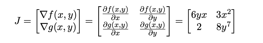
The Jacobian Matrix (J):
When we have multiple functions (say,
fandg), each of which can depend on multiple input variables (say,xandy), we can organize their gradients into a matrix. This matrix is called the Jacobian matrix (or just the Jacobian).If we have two functions
f(x,y)andg(x,y), the JacobianJ(using the paper’s “numerator layout” where gradients are rows) is formed by stacking their gradient vectors:J = [ ∇f(x, y) ] = [ ∂f/∂x ∂f/∂y ][ ∇g(x, y) ] [ ∂g/∂x ∂g/∂y ]So for
f(x,y) = 3x²yandg(x,y) = 2x + y⁸, the Jacobian is:J = [ 6yx 3x² ][ 2 8y⁷ ]What the Jacobian is ultimately trying to achieve: It captures all the first-order partial derivatives of a vector-valued function (a function that outputs a vector of values) with respect to a vector of input variables.
- Each row
itells you how functionfᵢchanges with respect to each input variable. - Each column
jtells you how all output functions change with respect to input variablexⱼ. - Essentially, if you have
mfunctions andninput variables, the Jacobian is anm x nmatrix where the entryJᵢⱼ = ∂fᵢ/∂xⱼ.
- Each row
Layouts (Numerator vs. Denominator):
- The paper notes: “there are multiple ways to represent the Jacobian.” They use “numerator layout” (where
∇fis a row vector, and the Jacobian stacks these row vectors). - Other sources might use “denominator layout,” which is essentially the transpose of the numerator layout Jacobian. It’s important to be aware of this when consulting different texts, as the shapes of matrices in equations will change accordingly. The paper sticks to numerator layout.
Example given (page 7, top): Transpose of our Jacobian above is
[ 6yx 2 ][ 3x² 8y⁷ ]
- The paper notes: “there are multiple ways to represent the Jacobian.” They use “numerator layout” (where
This Jacobian matrix is a fundamental tool when dealing with transformations between vector spaces in calculus, and it plays a key role in the chain rule for vector functions, which is vital for backpropagation in neural networks with multiple layers and multiple neurons per layer.
The main idea here is organization:
- Gradient: Organizes partial derivatives of a single scalar-output function with respect to its multiple inputs into a vector.
- Jacobian: Organizes gradients of multiple scalar-output functions (or equivalently, partial derivatives of a single vector-output function) into a matrix.
Great! Understanding the Jacobian as an organized collection of partial derivatives is a key step.
Section 4.1: Generalization of the Jacobian (page 7 of the Parr & Howard paper).
This section formalizes the Jacobian for a general case where you have a vector of functions, y = f(x), where x is an input vector and y is an output vector.
Vector Notation:
- Input vector
xhasnelements:x = [x₁, x₂, ..., xₙ]ᵀ(they assume column vectors by default). - Output vector
yhasmscalar-valued functions:y = [f₁(x), f₂(x), ..., fₘ(x)]ᵀ. Eachfᵢ(x)takes the whole vectorxas input and returns a scalar.
- Input vector
The Jacobian Matrix
∂y/∂x: The paper defines the Jacobian as a stack ofmgradients (one for each output functionfᵢ). Since they use numerator layout (where each gradient∇fᵢ(x)is a row vector of partials with respect to the components ofx), the Jacobian becomes anm x nmatrix:∂y/∂x = [ ∇f₁(x) ] = [ ∂f₁/∂x₁ ∂f₁/∂x₂ ... ∂f₁/∂xₙ ][ ∇f₂(x) ] [ ∂f₂/∂x₁ ∂f₂/∂x₂ ... ∂f₂/∂xₙ ][ ... ] [ ... ... ... ... ][ ∇fₘ(x) ] [ ∂fₘ/∂x₁ ∂fₘ/∂x₂ ... ∂fₘ/∂xₙ ]- Rows: Each row
iof the Jacobian corresponds to one output functionfᵢ(x)and contains all the partial derivatives of that specific output function with respect to each of the input variablesx₁, x₂, ..., xₙ. So, rowiis∇fᵢ(x). - Columns: Each column
jof the Jacobian corresponds to one input variablexⱼand contains all the partial derivatives of each of the output functionsf₁, f₂, ..., fₘwith respect to that specific input variablexⱼ.
What the Jacobian
∂y/∂xis ultimately trying to achieve: It describes how each component of the output vectorychanges in response to a small change in each component of the input vectorx. It’s a complete map of all the first-order sensitivities between the inputs and outputs.- Rows: Each row
Visualizing Jacobian Shapes (diagram on page 8): This is a handy diagram to remember the dimensions based on the nature of input
xand outputf(ory):- Scalar input
x, Scalar outputf: Derivative∂f/∂xis a scalar. (This is standard Calc 1). - Vector input
x, Scalar outputf: Derivative∂f/∂x(which is∇f) is a row vector (1 x n) in numerator layout. - Scalar input
x, Vector outputf: Derivative∂f/∂xis a column vector (m x 1). (Each∂fᵢ/∂xis a scalar, stacked up). - Vector input
x, Vector outputf: Derivative∂f/∂x(the Jacobian) is anm x nmatrix.
- Scalar input
Example: Jacobian of the Identity Function (page 8):
- If
y = f(x) = x, then each output componentyᵢis just equal to the corresponding input componentxᵢ(sofᵢ(x) = xᵢ). Here,m=n. - Let’s find
∂fᵢ/∂xⱼ = ∂xᵢ/∂xⱼ:- If
i = j, then∂xᵢ/∂xᵢ = 1(the derivative ofx₁with respect tox₁is 1). - If
i ≠ j, then∂xᵢ/∂xⱼ = 0(e.g.,x₁does not change whenx₂changes, because they are independent input components, so∂x₁/∂x₂ = 0).
- If
- When you assemble these into the Jacobian matrix, you get 1s on the main diagonal and 0s everywhere else. This is the Identity Matrix (I).
∂x/∂x = I- What this ultimately means: If you wiggle an input
xⱼby a small amount, only the corresponding outputyⱼwiggles by that same amount, and other outputsyᵢ(wherei≠j) don’t change at all. This makes perfect sense for the identity function.
- If
This section firmly establishes the Jacobian matrix as the way to represent the derivative of a vector function with respect to a vector input. It’s the matrix that holds all the individual “slopes” that connect changes in each input dimension to changes in each output dimension.
This general form of the Jacobian will be crucial when we get to the vector chain rule later, which is how backpropagation efficiently calculates gradients through multiple layers of a neural network, where each layer can be seen as a vector function taking a vector input.
Section 4.2: Derivatives of vector element-wise binary operators (Pages 9-11).
The Big Picture of This Section:
Neural networks involve many operations on vectors: adding an input vector to a bias vector, multiplying activations by weights, etc. Often, these operations are element-wise – meaning the operation is applied independently to corresponding elements of the input vectors to produce an element of the output vector.
- Example: If
w = [w₁, w₂]andx = [x₁, x₂], thenw + x = [w₁ + x₁, w₂ + x₂]. The first element of the output only depends on the first elements of the inputs, and so on.
This section aims to figure out:
- If we have an output vector
ythat’s a result of an element-wise operation between two input vectorswandx(e.g.,y = w + xory = w * x), how doesychange if we wigglew? (This gives us the Jacobian∂y/∂w). - And how does
ychange if we wigglex? (This gives us the Jacobian∂y/∂x).
What we are ultimately trying to achieve here is to find simplified forms for these Jacobians, because for element-wise operations, many of the terms in the full Jacobian matrix will turn out to be zero.
Breaking it Down (Page 9):
The paper starts with the general form: y = f(w) ⊙ g(x).
wandxare input vectors.f(w)andg(x)are functions that produce vectors of the same size.⊙represents any element-wise binary operator (like+,-, element-wise*, element-wise/).yis the output vector. So,yᵢ = fᵢ(w) ⊙ gᵢ(x). Thei-th element ofydepends only on thei-th element processing ofwandx.
The full Jacobian ∂y/∂w would be a matrix where element (i,j) is ∂yᵢ/∂wⱼ (how the i-th output element yᵢ changes with respect to the j-th input element wⱼ from vector w).
Similarly for ∂y/∂x.
The “Furball” and the Simplification (Page 10):
The general Jacobian matrix for such an operation (shown at the bottom of page 9) looks complicated – a “furball,” as the paper says.
However, because the operations are element-wise, there’s a huge simplification:
yᵢ(thei-th element of the output) only depends onwᵢ(thei-th element ofw) andxᵢ(thei-th element ofx).yᵢdoes not depend onwⱼifj ≠ i.yᵢdoes not depend onxⱼifj ≠ i.
What does this mean for the Jacobian ∂y/∂w?
Consider ∂yᵢ/∂wⱼ:
- If
j ≠ i(we are looking at an off-diagonal element of the Jacobian): Sinceyᵢdoes not depend onwⱼ, its derivative∂yᵢ/∂wⱼmust be zero. - If
j = i(we are looking at a diagonal element of the Jacobian): Then∂yᵢ/∂wᵢwill generally be non-zero, and it’s just the derivative of thei-th scalar operationfᵢ(wᵢ) ⊙ gᵢ(xᵢ)with respect towᵢ(treatingxᵢas a constant for this partial derivative).
The Result: Diagonal Jacobians!
This means that for element-wise operations, the Jacobian matrices ∂y/∂w and ∂y/∂x are diagonal matrices. A diagonal matrix has non-zero values only along its main diagonal, and zeros everywhere else.
The paper introduces the “element-wise diagonal condition”: fᵢ(w) should only access wᵢ and gᵢ(x) should only access xᵢ. This is precisely what happens in simple element-wise vector operations.
So, the Jacobian ∂y/∂w simplifies to (middle of page 10):
∂y/∂w = diag( ∂/∂w₁ (f₁(w₁) ⊙ g₁(x₁)), ∂/∂w₂ (f₂(w₂) ⊙ g₂(x₂)), ..., ∂/∂wₙ (fₙ(wₙ) ⊙ gₙ(xₙ)) )
Each term on the diagonal is just a scalar derivative of the i-th component operation.
What this simplification is ultimately trying to achieve: It makes calculating these Jacobians much easier. Instead of a full matrix of derivatives, we only need to calculate n scalar derivatives for the diagonal.
Special Case: f(w) = w (Page 10-11)
Very often in neural networks, one of the functions in the element-wise operation is just the identity. For example, vector addition y = w + x. Here f(w) = w (so fᵢ(wᵢ) = wᵢ) and g(x) = x (so gᵢ(xᵢ) = xᵢ).
Let’s look at y = w + x, so yᵢ = wᵢ + xᵢ.
∂y/∂w:- The
i-th diagonal element is∂/∂wᵢ (wᵢ + xᵢ). Treatingxᵢas a constant, this derivative is1. - So,
∂(w+x)/∂w = diag(1, 1, ..., 1) = I(the identity matrix).
- The
∂y/∂x:- The
i-th diagonal element is∂/∂xᵢ (wᵢ + xᵢ). Treatingwᵢas a constant, this derivative is1. - So,
∂(w+x)/∂x = diag(1, 1, ..., 1) = I(the identity matrix).
- The
The paper then lists Jacobians for common element-wise binary operations where f(w) = w (so fᵢ(wᵢ) = wᵢ):
Addition:
y = w + x∂y/∂w = I∂y/∂x = I- Intuition: If you wiggle
w₁by a small amountΔ,y₁changes byΔ, and no otheryⱼchanges. Same forx.
Subtraction:
y = w - x∂y/∂w = I∂y/∂x = -I(because∂/∂xᵢ (wᵢ - xᵢ) = -1)- Intuition: If you wiggle
x₁byΔ,y₁changes by-Δ.
Element-wise Multiplication (Hadamard Product):
y = w ⊗ x(soyᵢ = wᵢ * xᵢ)∂y/∂w:i-th diagonal element is∂/∂wᵢ (wᵢ * xᵢ) = xᵢ. So,∂y/∂w = diag(x).∂y/∂x:i-th diagonal element is∂/∂xᵢ (wᵢ * xᵢ) = wᵢ. So,∂y/∂x = diag(w).- Intuition for ∂y/∂w: If you wiggle
w₁byΔ,y₁changes byx₁ * Δ. The change iny₁depends on the value ofx₁.
Element-wise Division:
y = w / x(soyᵢ = wᵢ / xᵢ)∂y/∂w:i-th diagonal element is∂/∂wᵢ (wᵢ / xᵢ) = 1/xᵢ. So,∂y/∂w = diag(1/x₁, 1/x₂, ...).∂y/∂x:i-th diagonal element is∂/∂xᵢ (wᵢ / xᵢ) = -wᵢ / xᵢ². So,∂y/∂x = diag(-w₁/x₁², ...).
Key Takeaway from Section 4.2:
When dealing with element-wise operations between two vectors w and x to produce y, the Jacobians ∂y/∂w and ∂y/∂x are diagonal matrices. This is a huge simplification. The values on the diagonal are found by simply taking the scalar derivative of the i-th component operation with respect to the i-th component of the input vector. This section provides the rules for common operations like addition, subtraction, and element-wise multiplication/division.
This means that when we’re backpropagating gradients through such an element-wise layer, the calculations become much simpler than if we had to deal with full Jacobian matrices. We’re essentially just scaling the incoming gradients by these diagonal terms.
Section 4.3: Derivatives involving scalar expansion (Pages 11-12).
The Big Picture of This Section:
In neural networks, we often perform operations between a vector and a scalar. For example:
- Adding a scalar bias
bto every element of a vectorz:y = z + b. - Multiplying every element of a vector
zby a scalar learning rateη:y = η * z.
This section explains how to find the derivatives for these types of operations. The trick is to realize that these operations can be viewed as implicit element-wise operations where the scalar is “expanded” or “broadcast” into a vector of the same size as the other vector.
What we are ultimately trying to achieve here is to get rules for how the output vector y changes if we wiggle the input vector x, and how y changes if we wiggle the input scalar z.
Breaking it Down (Page 11-12):
The paper uses the example y = x + z, where x is a vector and z is a scalar.
- Implicit Expansion: This is really
y = f(x) + g(z)wheref(x) = xandg(z) = 1z(a vector where every element isz). - So,
yᵢ = xᵢ + z. Each elementyᵢis the sum of the correspondingxᵢand the same scalarz.
1. Derivative with respect to the vector x: ∂y/∂x
- This fits the “element-wise diagonal condition” we just discussed.
fᵢ(x) = xᵢonly depends onxᵢ.gᵢ(z) = z(for the i-th component) only depends on the scalarz(which is considered independent ofxfor this partial derivative).
- The
i-th diagonal element of the Jacobian∂y/∂xis∂/∂xᵢ (xᵢ + z). - Since
zis treated as a constant when differentiating with respect toxᵢ,∂z/∂xᵢ = 0. - So,
∂/∂xᵢ (xᵢ + z) = ∂xᵢ/∂xᵢ + ∂z/∂xᵢ = 1 + 0 = 1. - Therefore,
∂y/∂x = diag(1, 1, ..., 1) = I(the identity matrix). - Intuition: If you wiggle
xᵢby a small amountΔ, onlyyᵢchanges, and it changes byΔ. This is the definition of the identity matrix’s effect. - What this is ultimately trying to achieve: It confirms that adding a scalar to a vector shifts all elements equally, so the rate of change of each output element
yᵢwith respect to its corresponding inputxᵢis 1, and there’s no cross-influence.
2. Derivative with respect to the scalar z: ∂y/∂z
This is different! We are differentiating a vector output y with respect to a scalar input z.
Based on the table from page 8 (or just thinking about it):
- Input: scalar
z - Output: vector
y - The derivative
∂y/∂zshould be a column vector (or a vertical vector as the paper terms it). Each element of this column vector will be∂yᵢ/∂z. - Let’s find
∂yᵢ/∂zforyᵢ = xᵢ + z. - When differentiating with respect to
z, we treatxᵢas a constant. So,∂xᵢ/∂z = 0. ∂yᵢ/∂z = ∂/∂z (xᵢ + z) = ∂xᵢ/∂z + ∂z/∂z = 0 + 1 = 1.- Since this is true for every
i(from 1 ton, the dimension ofyandx), then∂y/∂zis a column vector of all ones. - The paper writes this as
∂/∂z (x + z) = 1(where1is the vector of ones of appropriate length). - Intuition: If you wiggle the single scalar
zbyΔ, every elementyᵢof the output vector changes byΔbecausezis added to everyxᵢ. - What this is ultimately trying to achieve: It shows how a single scalar change propagates to all elements of the output vector when scalar addition is involved.
Now for Scalar Multiplication: y = xz (or y = zx)
This is treated as element-wise multiplication: y = x ⊗ 1z.
So, yᵢ = xᵢ * z.
1. Derivative with respect to the vector x: ∂y/∂x
- Again, element-wise diagonal condition holds.
- The
i-th diagonal element is∂/∂xᵢ (xᵢ * z). - Treat
zas constant:∂/∂xᵢ (xᵢ * z) = z * ∂xᵢ/∂xᵢ = z * 1 = z. - So,
∂y/∂x = diag(z, z, ..., z) = zI(scalarztimes the identity matrix). - The paper writes this as
∂/∂x (xz) = diag(1z) = Iz. (Here,1zindiag(1z)means a vector ofzs, which makes more sense. Ifdiag(z)was meant for a scalarz, it would just bezitself, not a matrix. Sodiag(1z)is the clearer way to expresszI). My interpretation:diag(1z)means a diagonal matrix withzon every diagonal element. This isz * I. - Intuition: If you wiggle
xᵢbyΔ,yᵢchanges byz * Δ. The effect is scaled byz.
2. Derivative with respect to the scalar z: ∂y/∂z
∂y/∂zwill be a column vector. Thei-th element is∂yᵢ/∂z.yᵢ = xᵢ * z. Treatxᵢas constant.∂yᵢ/∂z = ∂/∂z (xᵢ * z) = xᵢ * ∂z/∂z = xᵢ * 1 = xᵢ.- So,
∂y/∂zis a column vector whose elements are[x₁, x₂, ..., xₙ]ᵀ, which is just the vectorx. - The paper writes this as
∂/∂z (xz) = x. - Intuition: If you wiggle the scalar
zbyΔ, thei-th outputyᵢchanges byxᵢ * Δ. The amountyᵢchanges depends on the value ofxᵢ. - What this is ultimately trying to achieve: It shows how a single scalar change
zpropagates to the output vectory, with each elementyᵢbeing affected proportionally to the correspondingxᵢ.
Key Takeaway from Section 4.3: Operations involving a vector and a scalar (like adding a scalar to a vector, or multiplying a vector by a scalar) can be understood by “expanding” the scalar into a vector and then applying the rules for element-wise vector operations.
- When differentiating with respect to the vector input, the Jacobian is still diagonal.
- When differentiating with respect to the scalar input, the result is a vector (not a diagonal matrix), because a single change in the scalar affects all components of the output vector.
This section helps us build up the rules needed for things like Wx + b in a neural network layer, where b might be a bias vector added element-wise, or a scalar bias broadcasted. The logic applies similarly.
Section 4.4: Vector sum reduction (Pages 12-13).
The Big Picture of This Section:
In many machine learning contexts, especially when defining loss functions, we often need to reduce a vector to a single scalar value. The most common way to do this is by summing up all the elements of the vector.
- Example: The Mean Squared Error (MSE) involves summing the squared errors for each instance. If we have a vector of squared errors, we sum them up to get a total squared error, then average.
This section focuses on finding the derivative of such a sum:
- If
y = sum(f(x)), wherexis an input vector andf(x)produces an output vector whose elements are then summed to get the scalary, how does this scalarychange if we wiggle the input vectorx? This will give us∂y/∂x, which will be a gradient (a row vector, according to the paper’s convention for derivative of a scalar w.r.t. a vector).
What we are ultimately trying to achieve here is a rule for how to differentiate through a summation operation. This is critical for backpropagation, as the total loss is often a sum of losses from individual components or instances.
Breaking it Down (Page 13):
Let y = sum(f(x)) = Σᵢ fᵢ(x).
xis an input vector[x₁, x₂, ..., xₙ].f(x)is a vector-valued function, producing an output vector[f₁(x), f₂(x), ..., fₚ(x)]. (Note: the paper usesnas the dimension ofxand alsonfor the number of terms in the sum, implyingp=n. Let’s assume the output vector off(x)haspelements).- Each
fᵢ(x)could potentially depend on all elements ofx(not justxᵢ). This is an important distinction from the element-wise operations earlier. yis the scalar sum of all elements of the vectorf(x).
We want to find the gradient ∂y/∂x. This will be a row vector:
∂y/∂x = [∂y/∂x₁, ∂y/∂x₂, ..., ∂y/∂xₙ]
Let’s consider one component of this gradient, ∂y/∂xⱼ (how the sum y changes with respect to one input element xⱼ):
∂y/∂xⱼ = ∂/∂xⱼ ( Σᵢ fᵢ(x) )
Because the derivative operator is distributive over a sum, we can move it inside:
∂y/∂xⱼ = Σᵢ ( ∂fᵢ(x)/∂xⱼ )
What this means: To find how the total sum y changes when xⱼ changes, we sum up how each individual term fᵢ(x) in the sum changes when xⱼ changes.
So, the gradient vector ∂y/∂x becomes:
∂y/∂x = [ Σᵢ(∂fᵢ/∂x₁), Σᵢ(∂fᵢ/∂x₂), ..., Σᵢ(∂fᵢ/∂xₙ) ]
Example 1: y = sum(x) (Simple sum of input vector elements)
Here, f(x) = x, so fᵢ(x) = xᵢ.
∂y/∂xⱼ = Σᵢ (∂xᵢ/∂xⱼ)∂xᵢ/∂xⱼis 1 ifi=j, and 0 ifi≠j.- So, in the sum
Σᵢ (∂xᵢ/∂xⱼ), only one term is non-zero: wheni=j, the term is 1. - Therefore,
∂y/∂xⱼ = 1for allj.
- This means
∂y/∂x = [1, 1, ..., 1]. - The paper writes this as
∇y = 1ᵀ(a row vector of ones). - Intuition: If you have
y = x₁ + x₂ + ... + xₙ, and you wigglex₁by a small amountΔ,ychanges byΔ. If you wigglex₂byΔ,yalso changes byΔ, and so on. The rate of change ofywith respect to anyxⱼis 1. - What this result ultimately achieves: It gives us a very simple rule: the derivative of the sum of a vector’s elements, with respect to that vector itself, is a vector of ones (transposed to match the gradient convention).
Example 2: y = sum(xz) (Sum of a vector multiplied by a scalar)
Here, x is a vector, z is a scalar.
Let f(x,z) be the vector xz (meaning fᵢ(x,z) = xᵢz).
Then y = sum(f(x,z)) = Σᵢ (xᵢz).
Derivative with respect to the vector
x:∂y/∂x- The
j-th component of the gradient is∂y/∂xⱼ = Σᵢ (∂(xᵢz)/∂xⱼ). ∂(xᵢz)/∂xⱼ:- If
i = j:∂(xⱼz)/∂xⱼ = z(treatingzas constant). - If
i ≠ j:∂(xᵢz)/∂xⱼ = 0(becausexᵢzdoesn’t depend onxⱼ).
- If
- So, in the sum
Σᵢ (∂(xᵢz)/∂xⱼ), only the term wherei=jsurvives, and it isz. - Therefore,
∂y/∂xⱼ = zfor allj. - This means
∂y/∂x = [z, z, ..., z]. - Intuition: If
y = x₁z + x₂z + ... + xₙz, and you wigglexⱼbyΔ, thenychanges byzΔ. The rate of change isz.
- The
Derivative with respect to the scalar
z:∂y/∂z(This is a scalar derivative of a scalar w.r.t a scalar)y = Σᵢ (xᵢz) = z * (Σᵢ xᵢ).∂y/∂z = ∂/∂z ( z * sum(x) ).- Since
sum(x)is treated as a constant when differentiating w.r.t.z, ∂y/∂z = sum(x).- Intuition: If
y = z * (x₁ + x₂ + ... + xₙ), and you wigglezbyΔ, thenychanges by(x₁ + ... + xₙ)Δ. The rate of change issum(x).
Key Takeaway from Section 4.4:
When you differentiate a scalar sum y = sum(f(x)) with respect to the input vector x, the j-th component of the resulting gradient ∂y/∂x is the sum of how each term fᵢ(x) in the original sum changes with respect to xⱼ.
- For
y = sum(x), this simplifies to∂y/∂x = 1ᵀ. - This rule is fundamental for backpropagation because the overall loss of a network is often a sum (or average) of losses per instance, or a sum of terms in a complex loss function. When we take the derivative of this total loss with respect to weights in earlier layers, we’ll be implicitly using this idea of differentiating through a sum.
The paper uses the notation ∇y when the output y is a scalar and the differentiation is with respect to a vector, resulting in a row vector (the gradient). It uses ∂y/∂x for the more general Jacobian when y could also be a vector.
Section 4.5: The Chain Rules
The Big Picture of This Section:
Neural networks are essentially deeply nested functions. The output of one layer becomes the input to the next, which then feeds into another, and so on, until we get the final output, and then a loss function is applied.
loss = L( activation_L( ... activation_2( activation_1(X, w₁, b₁), w₂, b₂) ... ), y_true )
To train the network using gradient descent, we need to calculate how the final loss changes with respect to every single weight and bias in the entire network, even those in the very first layers. This is a monumental task if done naively.
The Chain Rule is the mathematical tool that allows us to do this efficiently.
- What it’s ultimately trying to achieve: It provides a systematic way to calculate the derivative of a composite (nested) function by breaking it down into simpler derivatives of its constituent parts and then “chaining” them together (usually by multiplication).
The paper discusses three variants, from simple to more general:
- Single-variable chain rule (scalar function of a scalar variable).
- Single-variable total-derivative chain rule (scalar function of a scalar variable, but with intermediate multivariate functions).
- Vector chain rule (vector function of a vector variable). This is the most general one for neural networks.
4.5.1 Single-variable chain rule (Pages 14-17)
This is the chain rule you likely learned in basic calculus.
- Scenario: You have a function nested within another, like
y = f(g(x)). For example,y = sin(x²).- Here,
g(x) = x²(the inner function). - And
f(u) = sin(u)(the outer function, whereu = g(x)).
- Here,
- The Rule:
dy/dx = dy/du * du/dxdu/dx: How the inner functionuchanges with respect tox. Foru=x²,du/dx = 2x.dy/du: How the outer functionychanges with respect to its direct inputu. Fory=sin(u),dy/du = cos(u).- Then
dy/dx = cos(u) * 2x. Substitute backu=x²to getcos(x²) * 2x.
- The Process (as recommended by the paper):
- Introduce intermediate variables: Break down the nested expression.
For
y = sin(x²), letu = x². Theny = sin(u). - Compute derivatives of intermediate variables:
du/dx = 2xdy/du = cos(u) - Combine (multiply) the derivatives:
dy/dx = (dy/du) * (du/dx) = cos(u) * 2x - Substitute back:
dy/dx = cos(x²) * 2x
- Introduce intermediate variables: Break down the nested expression.
For
- Units Analogy (page 15): The paper gives a nice analogy: if
yis miles,uis gallons, andxis tank level, thenmiles/tank = (miles/gallon) * (gallons/tank). The intermediate unit “gallon” cancels out. - Dataflow Diagram / Abstract Syntax Tree (page 16): Visualizing the chain of operations helps. Changes in
xbubble up tou, then toy. The chain rule traces this path. - Condition for Single-Variable Chain Rule: There’s a single dataflow path from
xtoy. Intermediate functions (u(x),y(u)) have only one parameter. - Deeply Nested Expressions (page 17): The process extends. For
y = f₄(f₃(f₂(f₁(x)))), letu₁=f₁(x),u₂=f₂(u₁)etc. Thendy/dx = (dy/du₃) * (du₃/du₂) * (du₂/du₁) * (du₁/dx). Example:y = ln(sin(x³)²)u₁ = x³u₂ = sin(u₁)u₃ = u₂²y = u₄ = ln(u₃)du₁/dx = 3x²du₂/du₁ = cos(u₁)du₃/du₂ = 2u₂dy/du₃ = 1/u₃dy/dx = (1/u₃) * (2u₂) * (cos(u₁)) * (3x²)- Substitute back:
(1/sin(x³)² ) * (2sin(x³)) * (cos(x³)) * (3x²) = 6x²cos(x³)/sin(x³)
- What the single-variable chain rule is ultimately trying to achieve: It provides a recipe to find the overall rate of change of a nested scalar function by multiplying the rates of change of its individual components along the chain of dependency.
4.5.2 Single-variable total-derivative chain rule (Pages 18-20)
This handles a more complex scenario. What if an intermediate variable depends on the original input x and other intermediate variables that also depend on x?
Scenario:
y = f(x) = x + x². The paper rewrites this using intermediate variables to illustrate:u₁(x) = x²y = u₂(x, u₁) = x + u₁Here,y(which isu₂) depends directly onxand it depends onu₁, which also depends onx. So,xinfluencesythrough two paths:- Directly (the
xterm inx + u₁). - Indirectly (through
u₁which isx²).
- Directly (the
The simple chain rule
dy/dx = (∂y/∂u₁) * (du₁/dx)would give1 * 2x = 2x, which is wrong (the derivative ofx+x²is1+2x).The “Law” of Total Derivatives (page 19): To get
dy/dx(the total derivative ofywith respect tox), you need to sum up all possible contributions from changes inxto the change iny. Fory = u₂(x, u₁(x)):dy/dx = ∂u₂/∂x + (∂u₂/∂u₁) * (du₁/dx)Let’s break this down:∂u₂/∂x: This is the partial derivative ofu₂(x,u₁)with respect tox, treatingu₁as if it were an independent constant for this term. Foru₂ = x + u₁,∂u₂/∂x = 1. (Howychanges ifxwiggles butu₁is held fixed).∂u₂/∂u₁: Partial derivative ofu₂(x,u₁)with respect tou₁, treatingxas constant. Foru₂ = x + u₁,∂u₂/∂u₁ = 1. (Howychanges ifu₁wiggles butxis held fixed).du₁/dx: Total derivative ofu₁(x)with respect tox. Foru₁ = x²,du₁/dx = 2x. (Howu₁changes ifxwiggles).- So,
dy/dx = 1 + (1 * 2x) = 1 + 2x. Correct!
General Single-Variable Total-Derivative Chain Rule (page 19): If
y = f(x, u₁, u₂, ..., uₙ), and eachuᵢis also a function ofx(uᵢ(x)):dy/dx (total) = ∂f/∂x (direct) + Σᵢ (∂f/∂uᵢ) * (duᵢ/dx (total))∂f/∂x: Partial derivative offw.r.tx, holding alluᵢconstant (measures direct effect ofxonf).∂f/∂uᵢ: Partial derivative offw.r.tuᵢ, holdingxand otheruⱼconstant (howfchanges if onlyuᵢchanges).duᵢ/dx: Total derivative ofuᵢw.r.tx(howuᵢitself changes whenxchanges, which might involve its own chain of dependencies).- What this rule is ultimately trying to achieve: It correctly accounts for all paths through which a change in
xcan affect the final outputy, summing up the contributions from the direct path and all indirect paths through intermediate variablesuᵢ.
Simplified Final Form (page 20): The paper cleverly shows that if you introduce
xitself as another intermediate variable (e.g.,uₙ₊₁ = x), then the “direct”∂f/∂xterm can be absorbed into the sum. Ify = f(u₁, ..., uₙ, uₙ₊₁)whereuᵢ = uᵢ(x)for alli, anduₙ₊₁ = x(soduₙ₊₁/dx = 1), Thendy/dx = Σᵢ (∂f/∂uᵢ) * (duᵢ/dx)(summing over alln+1intermediate variables). This foreshadows the vector chain rule where the sum looks like a dot product.Caution on Terminology: The paper notes that what they call the “single-variable total-derivative chain rule” is often just called the “multivariable chain rule” in calculus discussions, which can be misleading because the overall function
f(x)is still a scalar function of a single scalarx.
4.5.3 Vector chain rule (Pages 21-22) - THE PAYOFF!
Now for the most general case, relevant to neural networks:
g(x): A function that takes a vectorxand outputs an intermediate vectoru = g(x).f(u): A function that takes the vectoruand outputs a final vectory = f(u).We want to find
∂y/∂x, the Jacobian of the composite functiony = f(g(x))with respect tox.The Rule (beautifully simple in vector/matrix form):
∂y/∂x = (∂y/∂u) * (∂u/∂x)Where:∂u/∂x: Is the Jacobian ofgwith respect tox. Ifxisn x 1anduisk x 1, this is ak x nmatrix.∂y/∂u: Is the Jacobian offwith respect tou. Ifuisk x 1andyism x 1, this is anm x kmatrix.*: This is matrix multiplication.- The result
∂y/∂xwill be anm x nmatrix, which is the correct shape for the Jacobian ofy(m-dim) w.r.t.x(n-dim).
How the paper rediscovers it (page 21): It starts with a simpler case:
y = f(g(x))wherexis a scalar,g(x)is a vector[g₁(x), g₂(x)]ᵀ, andf(g)is a vector[f₁(g), f₂(g)]ᵀ(wheref₁might depend ong₁andg₂, andf₂might also depend ong₁andg₂).∂y/∂xwill be a column vector[∂y₁/∂x, ∂y₂/∂x]ᵀ.- Using the single-variable total-derivative chain rule for each component
yᵢ:∂y₁/∂x = (∂f₁/∂g₁) * (dg₁/dx) + (∂f₁/∂g₂) * (dg₂/dx)∂y₂/∂x = (∂f₂/∂g₁) * (dg₁/dx) + (∂f₂/∂g₂) * (dg₂/dx) - This can be written in matrix form:
[ ∂y₁/∂x ] = [ ∂f₁/∂g₁ ∂f₁/∂g₂ ] * [ dg₁/dx ][ ∂y₂/∂x ] [ ∂f₂/∂g₁ ∂f₂/∂g₂ ] [ dg₂/dx ]This is exactly∂y/∂x = (∂y/∂g) * (∂g/∂x)! (Hereuis calledg).
The Beauty of the Vector Chain Rule (page 22): It automatically takes care of the total derivative aspect (summing over all intermediate paths) because of how matrix multiplication is defined (sum of products). The full Jacobian components are shown, illustrating the
m x kmatrix∂f/∂gmultiplying thek x nmatrix∂g/∂xto give anm x nresult.Simplification for Element-wise Operations (page 22, bottom): If
foperates element-wise ong(i.e.,yᵢ = fᵢ(gᵢ)) ANDgoperates element-wise onx(i.e.,gᵢ = gᵢ(xᵢ)), then:∂f/∂gbecomesdiag(∂fᵢ/∂gᵢ)∂g/∂xbecomesdiag(∂gᵢ/∂xᵢ)- Then
∂y/∂x = diag(∂fᵢ/∂gᵢ) * diag(∂gᵢ/∂xᵢ) = diag( (∂fᵢ/∂gᵢ) * (∂gᵢ/∂xᵢ) ). - The Jacobian is diagonal, and each diagonal element is just the result of the single-variable chain rule applied to the components. This connects back to the earlier sections.
Key Takeaway from Section 4.5: The chain rule, in its various forms, is the fundamental mechanism for calculating derivatives of complex, nested functions.
- For a simple chain
y(u(x)), it’sdy/dx = (dy/du)(du/dx). - If
xcan affectythrough multiple paths via intermediate variablesuᵢ(x), the total derivative involves summing the contributions from each path. - For vector functions of vector variables
y(u(x)), the Jacobian∂y/∂x = (∂y/∂u)(∂u/∂x)(matrix multiplication) elegantly captures all these interactions. This is the version most directly applicable to backpropagation in neural networks, where∂y/∂uis the gradient from the layer above, and∂u/∂xis the local gradient of the current layer.
This vector chain rule is what allows backpropagation to efficiently compute the gradient of the final loss with respect to every single weight in a deep network by “chaining” these Jacobian multiplications backward through the layers. Each Jacobian ∂(layer_output)/∂(layer_input) tells us how a layer transforms incoming gradient signals.
Section 5: The gradient of neuron activation
The Big Picture of This Section:
In the previous section (4.5.3 Vector Chain Rule), the paper showed how to calculate ∂y/∂x = (∂y/∂u) * (∂u/∂x) where u=g(x) and y=f(u).
This section is going to calculate one of these crucial Jacobians: the ∂u/∂x part, specifically for a typical neuron’s “affine function” (the weighted sum + bias) before the non-linear activation. Then, it will combine it with the derivative of an activation function (like max(0,z)) using the chain rule.
Essentially, we want to answer:
- If a neuron calculates
z = w·x + b(affine part) and thenactivation = A(z)(activation part), how does thisactivationchange if we wiggle the inputsx, the weightsw, or the biasb?
This is a fundamental building block for backpropagation. When we have the gradient of the loss with respect to a neuron’s activation (this would be like ∂L/∂activation, coming from layers above), we’ll need ∂activation/∂w and ∂activation/∂b to find out how to update that neuron’s weights and bias.
What we are ultimately trying to achieve here is to find the specific derivative expressions (gradients) for a single neuron’s output with respect to its inputs and its own parameters (weights and bias). These will be the local gradients used in the backpropagation algorithm.
Breaking it Down:
The typical neuron computation is:
- Affine function:
z(w, b, x) = w · x + b(a scalar output if we consider one neuron for now) - Activation function:
activation(z) = A(z). The paper usesA(z) = max(0, z)(ReLU) as the example.
So, the overall neuron activation is activation(x) = max(0, w · x + b).
Step 1: Focus on the Affine Part z = w · x + b (Page 24, bottom half)
Let y = w · x + b. (The paper uses y here for the affine part before max, which is a bit confusing as y is often the final output. Let’s stick to z for the affine part as the paper does in max(0,z)).
So, z = w · x + b.
We need ∂z/∂w and ∂z/∂b.
∂z/∂w(Derivative ofw·x + bwith respect to vectorw):∂/∂w (w·x): This is the derivative of a dot product. The paper cleverly rephrasesw·xassum(w ⊗ x)where⊗is element-wise multiplication.- Let
u = w ⊗ x. We know from Section 4.2 that∂u/∂w = diag(x). - Let
z' = sum(u). We know from Section 4.4 that∂z'/∂u = 1ᵀ(a row vector of ones). - Using the vector chain rule for
∂z'/∂w = (∂z'/∂u) * (∂u/∂w):∂(w·x)/∂w = 1ᵀ * diag(x) = xᵀ(a row vector). ∂/∂w (b): Sincebis a scalar bias and doesn’t depend onw, this derivative is0ᵀ(a row vector of zeros).- So,
∂z/∂w = ∂(w·x + b)/∂w = xᵀ + 0ᵀ = xᵀ. - Intuition: How does
z = w₁x₁ + w₂x₂ + ... + wₙxₙ + bchange ifwⱼchanges? It changes byxⱼ. So the gradient vector is[x₁, x₂, ..., xₙ], which isxᵀ. - What this is trying to achieve: It tells us that the sensitivity of the pre-activation value
zto a change in a weightwⱼis simply the value of the corresponding inputxⱼ. Larger inputs mean that their corresponding weights have a bigger impact.
∂z/∂b(Derivative ofw·x + bwith respect to scalarb):∂/∂b (w·x): This is 0, asw·xdoesn’t depend onb.∂/∂b (b): This is 1.- So,
∂z/∂b = 0 + 1 = 1. - Intuition: If you change the bias
bby a small amountΔ,zchanges byΔ. The rate of change is 1. - What this is trying to achieve: It tells us that the pre-activation value
zchanges one-to-one with changes in the biasb.
Step 2: Tackle the max(0, z) Activation Function (ReLU) (Page 24, bottom, and Page 25, top)
Let activation = A(z) = max(0, z). We need ∂A/∂z.
The max(0,z) function is piecewise:
- If
z ≤ 0, thenA(z) = 0. The derivativedA/dz = 0. - If
z > 0, thenA(z) = z. The derivativedA/dz = 1. The paper writes this as:∂/∂z max(0, z) = { 0 if z ≤ 0; 1 if z > 0 }. (Note: Technically, it’s not differentiable atz=0, but in practice, we can assign a subderivative of 0 or 1).
The paper then briefly mentions “broadcasting” for max(0, x) if x is a vector, meaning max is applied element-wise. The derivative ∂/∂xᵢ max(0, xᵢ) would be 0 if xᵢ ≤ 0 and 1 if xᵢ > 0.
Step 3: Combine using the Chain Rule for activation(x) = max(0, w · x + b) (Page 25)
Let z(w, b, x) = w · x + b (intermediate scalar variable representing the affine part).
Let activation(z) = max(0, z).
We want ∂activation/∂w and ∂activation/∂b.
Using the vector chain rule (or its scalar adaptation here since z and activation are scalars for a single neuron):
∂activation/∂w = (∂activation/∂z) * (∂z/∂w)∂activation/∂zis0ifz ≤ 0and1ifz > 0.∂z/∂wisxᵀ.- So,
∂activation/∂w = { 0ᵀ if z ≤ 0 (i.e., w·x+b ≤ 0) }{ xᵀ if z > 0 (i.e., w·x+b > 0) } - What this is ultimately trying to achieve: If the neuron is “off” (pre-activation
zis negative or zero, so ReLU output is 0), then small changes to the weightswhave no effect on the output (gradient is 0). If the neuron is “on” (z > 0, ReLU output isz), then the way the output changes with respect towis the same as howzchanges with respect tow, which isxᵀ.
∂activation/∂b = (∂activation/∂z) * (∂z/∂b)∂activation/∂zis0ifz ≤ 0and1ifz > 0.∂z/∂bis1.- So,
∂activation/∂b = { 0 if z ≤ 0 (i.e., w·x+b ≤ 0) }{ 1 if z > 0 (i.e., w·x+b > 0) } - What this is ultimately trying to achieve: If the neuron is “off”, changes to
bhave no effect on the output. If the neuron is “on”, changes tobhave a one-to-one effect on the output.
Key Takeaway from Section 5:
This section derived the gradients of a single ReLU neuron’s activation with respect to its weights w and its bias b.
∂(ReLU(w·x+b))/∂w = xᵀifw·x+b > 0, and0ᵀotherwise.∂(ReLU(w·x+b))/∂b = 1ifw·x+b > 0, and0otherwise.
These are the local gradients for a single neuron. In backpropagation, these local gradients will be multiplied by the gradient of the loss coming from the layer above (using the chain rule again!) to find out how much that specific neuron’s weights and bias contributed to the overall network error. This tells us how to update w and b for that neuron.
Section 6: The gradient of the neural network loss function
The Big Picture of This Section:
This is where everything we’ve learned about matrix calculus (gradients, Jacobians, chain rules) comes together to explain how a neural network learns by minimizing a loss function.
We have:
- A model (our neural network) with parameters (weights
wand biasesbfor all neurons). - A loss function
C(w, b, X, y)that measures how “bad” the model’s predictions are on a set of training dataXwith true labelsy. For example, Mean Squared Error for regression. - An optimization algorithm (Gradient Descent) that needs the gradient of this loss function
Cwith respect to all the model’s parameters (w’s andb’s) to update them and reduce the loss.
What we are ultimately trying to achieve in this section is to derive the formulas for ∂C/∂w and ∂C/∂b for a simple neuron, using the chain rule and the neuron activation gradients we found in Section 5. This will show the complete calculation for one neuron’s parameter updates.
Setting the Stage (Page 25, bottom):
The paper considers training a single neuron.
- Input:
Xis a matrix where each rowxᵢis an input vector for one training instance.Nis the number of instances. - Target:
yis a vector where eachyᵢis the scalar target output for instancexᵢ. - Loss Function (Mean Squared Error):
C(w, b, X, y) = (1/N) * Σᵢ (yᵢ - activation(xᵢ))²whereactivation(xᵢ) = max(0, w · xᵢ + b).
Following the Chain Rule Process (Page 26):
To find ∂C/∂w (and later ∂C/∂b), we introduce intermediate variables to break down the loss function calculation for a single instance xᵢ first, and then we’ll average over all instances.
Let’s consider the contribution of one instance x (dropping the i superscript for a moment) to the loss: (y_true - activation(x))².
The paper uses these intermediate variables:
u(w, b, x) = max(0, w · x + b)(This is the neuron’s activation. Let’s call itafor activation to avoid confusion withuoften being an intermediate in chain rule). So,a = max(0, w·x+b).v(y_true, a) = y_true - a(This is the error for this instance).L_instance(v) = v²(The squared error for this instance. The total lossCwill be the average of theseL_instancevalues).
6.1 The gradient with respect to the weights w (Pages 26-27)
We want ∂C/∂w. Since C is an average, ∂C/∂w = (1/N) Σᵢ (∂L_instanceᵢ / ∂w).
Let’s find ∂L_instance / ∂w for one instance.
L_instance = v²
v = y_true - a
a = max(0, w·x + b)
Using the chain rule: ∂L_instance/∂w = (∂L_instance/∂v) * (∂v/∂a) * (∂a/∂w)
∂L_instance/∂v = ∂(v²)/∂v = 2v∂v/∂a = ∂(y_true - a)/∂a = -1∂a/∂w = ∂(max(0, w·x+b))/∂w. We found this in Section 5!- It’s
xᵀifw·x+b > 0(neuron is active). - It’s
0ᵀifw·x+b ≤ 0(neuron is not active).
- It’s
Combining these for one instance:
∂L_instance/∂w = (2v) * (-1) * (xᵀ or 0ᵀ)
∂L_instance/∂w = -2v * (xᵀ or 0ᵀ)
Substitute v = y_true - a = y_true - max(0, w·x+b):
∂L_instance/∂w = -2(y_true - max(0, w·x+b)) * (xᵀ or 0ᵀ)
The paper simplifies this into a conditional expression (top of page 26, and then expanded middle of page 27):
- If
w·x + b ≤ 0(neuron not active,max(0,...) = 0): Then∂L_instance/∂w = -2(y_true - 0) * 0ᵀ = 0ᵀ. (Makes sense, if neuron output is 0, weights don’t affect it in this region). - If
w·x + b > 0(neuron active,max(0,...) = w·x+b): Then∂L_instance/∂w = -2(y_true - (w·x+b)) * xᵀ = 2((w·x+b) - y_true) * xᵀ.
Now, average over all N instances xᵢ:
∂C/∂w = (1/N) Σᵢ 2 * ( (w·xᵢ+b) - yᵢ ) * xᵢᵀ (This sum is only for instances where w·xᵢ+b > 0).
Or, more compactly, as shown in the paper before the “To interpret that equation…” part:
∂C/∂w = (2/N) Σᵢ eᵢ xᵢᵀ (where eᵢ = (w·xᵢ+b) - yᵢ is the error, and this sum is for the “nonzero activation case,” i.e., where w·xᵢ+b > 0).
- Interpretation (Page 27):
∂C/∂wis a weighted average of the input vectorsxᵢᵀ(transposed to be row vectors, which when summed give the gradient row vector).- The weights for this average are the error terms
eᵢ(the difference between the neuron’s affine outputw·xᵢ+band the targetyᵢ). - What this is ultimately trying to achieve:
- If the error
eᵢfor instancexᵢis large and positive (model predicted too high), the gradient∂C/∂wwill be pushed in the direction ofxᵢᵀ. To reduce the error via gradient descent (which subtracts the gradient), the weightswwill be adjusted againstxᵢᵀ, effectively reducing the outputw·xᵢ+b. - If the error
eᵢis large and negative (model predicted too low), the gradient∂C/∂wwill be pushed in the direction opposite toxᵢᵀ. Gradient descent will adjustwtowardsxᵢᵀ, increasing the output. - Instances
xᵢthat result in larger errorseᵢhave more influence on the gradient (they “pull” the weights harder). - This is exactly what we want for learning! The gradient points in a direction that tells us how to change
wto reduce the average error.
- If the error
Gradient Descent Update (Page 27, bottom):
w_next = w_current - η * (∂C/∂w)
This is the standard gradient descent update rule. Because the gradient ∂C/∂w points towards higher cost, we subtract a small amount of it (scaled by learning rate η) from the current weights to move towards lower cost.
6.2 The derivative with respect to the bias b (Pages 27-28)
The process is very similar. We want ∂C/∂b.
∂C/∂b = (1/N) Σᵢ (∂L_instanceᵢ / ∂b).
Using the chain rule: ∂L_instance/∂b = (∂L_instance/∂v) * (∂v/∂a) * (∂a/∂b)
∂L_instance/∂v = 2v(same as before)∂v/∂a = -1(same as before)∂a/∂b = ∂(max(0, w·x+b))/∂b. We found this in Section 5!- It’s
1ifw·x+b > 0(neuron is active). - It’s
0ifw·x+b ≤ 0(neuron is not active).
- It’s
Combining these for one instance:
∂L_instance/∂b = (2v) * (-1) * (1 or 0)
∂L_instance/∂b = -2v * (1 or 0)
Substitute v = y_true - max(0, w·x+b):
- If
w·x + b ≤ 0:∂L_instance/∂b = -2(y_true - 0) * 0 = 0. - If
w·x + b > 0:∂L_instance/∂b = -2(y_true - (w·x+b)) * 1 = 2((w·x+b) - y_true).
Averaging over all N instances xᵢ:
∂C/∂b = (1/N) Σᵢ 2 * ( (w·xᵢ+b) - yᵢ ) (This sum is only for instances where w·xᵢ+b > 0).
Or, as the paper shows:
∂C/∂b = (2/N) Σᵢ eᵢ (where eᵢ = (w·xᵢ+b) - yᵢ, summed for the “nonzero activation case”).
- Interpretation (Page 28):
- The partial derivative
∂C/∂bis just the average erroreᵢ(for activated neurons), scaled by 2. - What this is ultimately trying to achieve:
- If, on average, the neuron is predicting too high (average
eᵢis positive), the gradient∂C/∂bis positive. Gradient descentb_next = b - η(∂C/∂b)will decreaseb, reducing the neuron’s output. - If, on average, the neuron is predicting too low (average
eᵢis negative), the gradient∂C/∂bis negative. Gradient descent will increaseb, increasing the neuron’s output.
- If, on average, the neuron is predicting too high (average
- The partial derivative
Combining w and b (Page 29, top):
The paper mentions that in practice, it’s convenient to combine w and b into a single parameter vector ŵ = [wᵀ, b]ᵀ and augment the input vector x with a 1: ✰ = [xᵀ, 1]ᵀ. Then the affine function is just ŵ · ✰. This simplifies some notation but the underlying derivative calculations are the same.
Section 7: Summary (Page 29)
This section of the paper concludes that we now have the two partials (∂C/∂w and ∂C/∂b) necessary to perform gradient descent and optimize the parameters of a single neuron. It also reminds us that the next step in understanding full backpropagation for a multi-layer network would be to learn about partial derivatives of matrices, not just vectors.
Key Takeaway from Section 6:
This section ties everything together for a single neuron. By applying the chain rule, we derived how the overall Mean Squared Error loss changes with respect to the neuron’s weights w and its bias b.
∂C/∂wis an average of input vectorsxᵢᵀ, weighted by the prediction errorseᵢ.∂C/∂bis an average of the prediction errorseᵢ. These gradients tell gradient descent how to adjustwandbto make the neuron’s predictions better on average for the given training data. This is the fundamental step of learning for one neuron. Backpropagation is essentially applying this logic layer by layer, from the output back to the input, using the chain rule at each step.
Read the original paper: The Matrix Calculus You Need For Deep Learning
The content presented here is a collection of my personal notes and explanations based on the paper. This is by no means an exhaustive explanation, and I strongly encourage you to read the actual paper for a comprehensive understanding.